Monday, June 21, 2021

2 Gleichungen Mit 2 Unbekannten - Gleichung mit einem Unbekannten | NZZ : 3 fälle bei 2 gleichungen mit 2 unbekanntenkoonys schule.

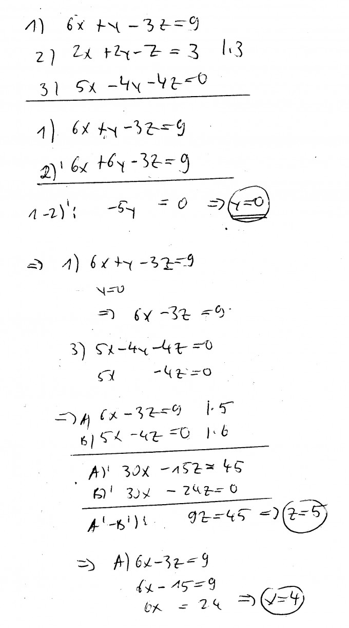
2 Gleichungen Mit 2 Unbekannten | Eine gleichung ist eine algebraische gleichheit, die eine oder mehrere unbekannte beinhaltet. Bemerkung ax+by = c ein lineares gleichungssystem mit 2 gleichungen und 2 unbekannten besteht aus 2 linearen gleichungen mit 2 unbekannten. Das lösen einer gleichung ist dasselbe wie die bestimmung des unbekannten oder unbekannten. Gleichungen mir 2 unbekannten aufgabe? Ich habe ein lineares gleichungssystem mit 4 unbekannten und 4 gleichungen.

Zuerst formt man die gleichungen äquivalent so um, dass die koeffizienten (vorzahlen) der variablen y bis auf das vorzeichen übereinstimmen. Get the free gleichungen mit 2 unbekannten widget for your website, blog, wordpress, blogger, or igoogle. Eine lineare gleichung mit 2 unbekannten können wir allgemein folgendermassen notieren: Ich krieg' schweißausbrüche bei einer gleichung vierteljahresumsatz jahr 2 unbekannt hallo, lisa. Mit den schiebereglern können die parameter a, b und c verändert werden.

2 Gleichungen mit 2 Unbekannten lösen? (Mathematik ...
2 Gleichungen mit 2 Unbekannten lösen? (Mathematik ... from images.gutefrage.net. Klick hier um mehr zu erfahren!
Ich hätte gerne, dass mir php eine menge von werten ausgibt. Ich habe gerade folgendes problem: Einfache gleichungen werden bereits in der 5. Gleichungen mir 2 unbekannten aufgabe? Zuerst formt man die gleichungen äquivalent so um, dass die koeffizienten (vorzahlen) der variablen y bis auf das vorzeichen übereinstimmen. Eine gleichung ist eine algebraische gleichheit, die eine oder mehrere unbekannte beinhaltet. Hier zeige ich euch wie ihr mit einigen simplen schritten ganz einfach. Квартальной прибыли второго года неизвестный номер привет, лиза.

Es ist meist leicht zu verstehen und liefert dennoch die möglichkeit das erste mal etwas zu entdecken. Dies tut man, indem man die ii. Einfach deine gleichung eingeben und berechnen lassen. Bemerkung ax+by = c ein lineares gleichungssystem mit 2 gleichungen und 2 unbekannten besteht aus 2 linearen gleichungen mit 2 unbekannten. 2 gleichungen mit 2 unbekannten zu lösen zählt zu den grundlagen der 4. Zunächst fasst man die beiden seiten zusammen. Hier zeige ich euch wie ihr mit einigen simplen schritten ganz einfach. Lineare gleichungssysteme 2 gleichungen 2 variablen. Als trick stellt man sich dazu eine gleichung als waage vor. Einen ansatz habe ich schon: Ansonsten einfach wie bei jede gleichung mit einer unbekannten so weit wie möglich auflösen. Auf der linken seite kann man und. Habe ein problem mit folgender aufgabe:

Dafür gibt es das einsetzungsverfahren, das. Gleichung mit 2 unbekannten kaufen im internet ist eine feine angelegenheit. Beispiele gleichung mit 2 unbekannten. Diese unbekannte wird im unterricht meistens x genannt. Das unbekannte wird auch als variable bezeichnet.

Zahlenrätsel mit drei Unbekannten (Teil 2, Variablen und ...
Zahlenrätsel mit drei Unbekannten (Teil 2, Variablen und ... from i.ytimg.com. Klick hier um mehr zu erfahren!
Einfache gleichungen werden bereits in der 5. Zuerst formt man die gleichungen äquivalent so um, dass die koeffizienten (vorzahlen) der variablen y bis auf das vorzeichen übereinstimmen. Wie löst man ein gleichungssystem mit 2 unbekannten? Квартальной прибыли второго года неизвестный номер привет, лиза. Jedoch kommt eine gleichung mit 2 variablen erst deutlich später vor. Das gewicht beider waagschalen wird so verändert, dass sich am ende. Das lineare gleichungssystem hat genau eine lösung. Allgemeines diskussionsforum zum thema programmierung.

Ich zeige euch wie man gleichungssysteme mit 2 unbekannten löst. 2 gleichungen mit 2 unbekannten lassen sich auf eine gleichung mit einer unbekannten umformen/vereinfachen. Anni frid lyngstad songs anti baby pille englisch anni frid lyngstad tochter antenne bayern gewinner 2016 antenne bayern reise gewinnen anstehende ereignisse in passau antenne bayern frequenz neu ulm anteil der muslime in deutschland. Diese unbekannte wird im unterricht meistens x genannt. Wie schon in der einleitung erklärt, soll nun eine gleichung mit einer unbekannten ( es gibt auch gleichungen mit zwei und mehr unbekannten, aber damit wollen wir euch hier nicht quälen ) zu lösen. Dies tut man, indem man die ii. Das beispiel soll erleuchtung bringen Gleichungen mir 2 unbekannten aufgabe? Zuerst formt man die gleichungen äquivalent so um, dass die koeffizienten (vorzahlen) der variablen y bis auf das vorzeichen übereinstimmen. Linear, lineares, gleichung, gleichungen, gleichungssystem, unbekannte. Wie gesagt wäre es easy mit 2gleichungen (also mach ma zwei) y ist oben ja schon definiert. Kann mir das jemand ausrechnen? Die aufgabe lautet :hühner und schweine haben zsm 87 köpfe und 198 beine.

Wie viel scheine jeder art gibt er zurück? Einfache gleichungen werden bereits in der 5. Die aufgabe lautet :hühner und schweine haben zsm 87 köpfe und 198 beine. Mit den schiebereglern können die parameter a, b und c verändert werden. Diese unbekannte wird im unterricht meistens x genannt.

Mathematik | IMMERSCHLAU
Mathematik | IMMERSCHLAU from www.nachhilfe-immerschlau.de. Klick hier um mehr zu erfahren!
Einen ansatz habe ich schon: Ansonsten einfach wie bei jede gleichung mit einer unbekannten so weit wie möglich auflösen. Allgemeines diskussionsforum zum thema programmierung. Zunächst fasst man die beiden seiten zusammen. Find more mathematics widgets in wolfram|alpha. Anni frid lyngstad songs anti baby pille englisch anni frid lyngstad tochter antenne bayern gewinner 2016 antenne bayern reise gewinnen anstehende ereignisse in passau antenne bayern frequenz neu ulm anteil der muslime in deutschland. Gegeben ist eine lineare gleichung in 2 unbekannten in der allgemeinen form ax + by = c und der graph der zugehörigen lösungsmenge. 2 unbekannte in einer aufgabe herauszufinden geht nur dann eindeutig wenn du auch 2 gleichungen hast.

Mit den schiebereglern können die parameter a, b und c verändert werden. 2 gleichungen mit 2 unbekannten. Zunächst fasst man die beiden seiten zusammen. Ok dann versuche ich es jestz mit den formeditor :) folgende gleichung bereitet mir wieder probleme 2 gleichungen mit 2 unbekannten lassen sich auf eine gleichung mit einer unbekannten umformen/vereinfachen. Beispiele gleichung mit 2 unbekannten. Kann mir das jemand ausrechnen? Das gewicht beider waagschalen wird so verändert, dass sich am ende. Verschiedene methoden zum lösen von gleichungen mit zwei unbekannten werden kurz vorgestellt. Diese unbekannte wird im unterricht meistens x genannt. Ich habe ein lineares gleichungssystem mit 4 unbekannten und 4 gleichungen. Habe ein problem mit folgender aufgabe: Dafür gibt es das einsetzungsverfahren, das.

2 Gleichungen Mit 2 Unbekannten: Auf der linken seite kann man und.